Understanding Correlation: A Statistical Guide
A correlation is a statistical measure of the relationship between two variables. The measure is best used in variables that demonstrate a linear relationship between each other. The fit of the data can be visually represented in a scatterplot. Using a scatterplot, we can generally assess the relationship between the variables and determine whether they are correlated or not.

The correlation coefficient is a value that indicates the strength of the relationship between variables. The coefficient can take any values from -1 to 1. The interpretations of the values are:
- -1: Perfect negative correlation. The variables tend to move in opposite directions (i.e., when one variable increases, the other variable decreases).
- 0: No correlation. The variables do not have a relationship with each other.
- 1: Perfect positive correlation. The variables tend to move in the same direction (i.e., when one variable increases, the other variable also increases).
One of the primary applications of the concept in finance is in portfolio managementPortfolio Management Career ProfilePortfolio management is managing investments and assets for clients, which include pension funds, banks, hedge funds, family offices. The portfolio manager is responsible for maintaining the proper asset mix and investment strategy that suits the client's needs. Salary, skills,. A thorough understanding of this statistical concept is essential to successful portfolio optimization.
Correlation and Causation
Correlation must not be confused with causality. The famous expression “correlation does not mean causation” is crucial to the understanding of the two statistical concepts.
If two variables are correlated, it does not imply that one variable causes the changes in another variable. Correlation only assesses relationships between variables, and there may be different factors that lead to the relationships. Causation may be a reason for the correlation, but it is not the only possible explanation.
CFI’s Math for Corporate Finance Course explores the financial mathematics concepts required for financial modeling.What is Financial ModelingFinancial modeling is performed in Excel to forecast a company's financial performance. Overview of what is financial modeling, how & why to build a model.
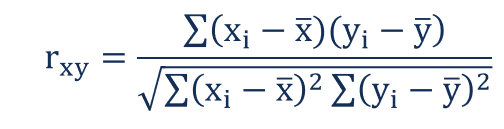
How to Find the Correlation?
The correlation coefficient that indicates the strength of the relationship between two variables can be found using the following formula:

Where:
- rxy – the correlation coefficient of the linear relationship between the variables x and y
- xi – the values of the x-variable in a sample
- x̅ – the mean of the values of the x-variable
- yi – the values of the y-variable in a sample
- ȳ – the mean of the values of the y-variable
In order to calculate the correlation coefficient using the formula above, you must undertake the following steps:
- Obtain a data sample with the values of x-variable and y-variable.
- Calculate the means (averages) x̅ for the x-variable and ȳ for the y-variable.
- For the x-variable, subtract the mean from each value of the x-variable (let’s call this new variable “a”). Do the same for the y-variable (let’s call this variable “b”).
- Multiply each a-value by the corresponding b-value and find the sum of these multiplications (the final value is the numerator in the formula).
- Square each a-value and calculate the sum of the result
- Find the square root of the value obtained in the previous step (this is the denominator in the formula).
- Divide the value obtained in step 4 by the value obtained in step 7.
You can see that the manual calculation of the correlation coefficient is an extremely tedious process, especially if the data sample is large. However, there are many software tools that can help you save time when calculating the coefficient. The CORREL function CORREL FunctionThe CORREL function is categorized under Excel Statistical functions. It will calculate the correlation coefficient between two variables. As a financial analyst, the CORREL function is very useful when we want to find the correlation between two variables, e.g., the correlation between ain Excel is one of the easiest ways to quickly calculate the correlation between two variables for a large data set.
Example of Correlation
John is an investor. His portfolio primarily tracks the performance of the S&P 500 and John wants to add the stock of Apple Inc. Before adding Apple to his portfolio, he wants to assess the correlation between the stock and the S&P 500S&P – Standard and Poor'sStandard & Poor’s is an American financial intelligence company that operates as a division of S&P Global. S&P is a market leader in the to ensure that adding the stock won’t increase the systematic risk of his portfolio. To find the coefficient, John gathers the following prices for the last five years (Step 1):

Using the formula above, John can determine the correlation between the prices of the S&P 500 Index and Apple Inc.
First, John calculates the average prices of each security for the given periods (Step 2):

After the calculation of the average prices, we can find the other values. A summary of the calculations is given in the table below:

Using the obtained numbers, John can calculate the coefficient:

The coefficient indicates that the prices of the S&P 500 and Apple Inc. have a high positive correlation. This means that their respective prices tend to move in the same direction. Therefore, adding Apple to his portfolio would, in fact, increase the level of systematic risk.
Related Readings
Thank you for reading CFI’s explanation of Correlation. CFI is the official provider of the Financial Modeling and Valuation Analyst (FMVA)™Become a Certified Financial Modeling & Valuation Analyst (FMVA)®CFI's Financial Modeling and Valuation Analyst (FMVA)® certification will help you gain the confidence you need in your finance career. Enroll today! certification program, designed to transform anyone into a world-class financial analyst.
To keep learning and developing your knowledge of financial analysis, we highly recommend the additional CFI resources below:
- Anchoring BiasAnchoring BiasAnchoring bias occurs when people rely too much on pre-existing information or the first information they find when making decisions. Anchors are an important concept in behavioral finance.
- Dynamic Financial AnalysisDynamic Financial AnalysisThis guide will teach you how to perform dynamic financial analysis in Excel using advanced formulas and functions. INDEX, MATCH, and INDEX MATCH MATCH Functions, Combining CELL, COUNTA, MID and OFFSET in a Formula. When used, these Excel functions make your financial statement analysis more dynamic
- Hypothesis TestingHypothesis TestingHypothesis Testing is a method of statistical inference. It is used to test if a statement regarding a population parameter is correct. Hypothesis testing
- Poisson DistributionPoisson DistributionThe Poisson Distribution is a tool used in probability theory statistics to predict the amount of variation from a known average rate of occurrence, within
finance
- Covariance Explained: Understanding Relationships in Finance
- Jumbo CDs: Higher Rates & Deposits Explained
- Negative Correlation Explained: Understanding Inverse Relationships
- Intermarket Analysis: Understanding Asset Class Relationships | [Your Brand]
- Understanding Serial Correlation: Definition & Applications
- Correlation Trading: Strategies & Examples | [Your Brand Name]
- Understanding Regulation Z: Your Rights as a Borrower
- Understanding Positive Correlation: Definition & Examples
- Annuities Explained: A Simple Guide to Retirement Income
-
DeFi Explained: A Beginner's Guide to Decentralized FinanceThe Beginner’s Guide to Decentralized FinanceIf you’re diving deep into the world of cryptocurrency, you have probably heard the term “DeFi” used to describe a variety of new protocols and assets. Fi...
-
0x: A Comprehensive Guide to Decentralized Ethereum TradingWhat Is 0x? 0x is a decentralized exchange for trading ERC 20 tokens. (See also: What Is ERC 20 And What Does It Mean For Ethereum?). It is among the most high-profile examples of decentra...
