Understanding Delta: A Key Risk Measure in Derivatives
Delta is a risk sensitivity measure used in assessing derivativesDerivativesDerivatives are financial contracts whose value is linked to the value of an underlying asset. They are complex financial instruments that are. It is one of the many measures that are denoted by a GreekOption GreeksOption Greeks are financial measures of the sensitivity of an option’s price to its underlying determining parameters, such as volatility or the price of the underlying asset. The Greeks are utilized in the analysis of an options portfolio and in sensitivity analysis of an option letter. The series of risk measures that use such letters are fittingly referred to as the Greeks. They are often also called risk measures, hedgeHedgingHedging is a financial strategy that should be understood and used by investors because of the advantages it offers. As an investment, it protects an individual’s finances from being exposed to a risky situation that may lead to loss of value. parameters, or risk sensitivities.

Of the Greeks, delta is one of the most important metrics. It compares the change in the price of a derivative to the changes in the underlying asset’s price. For example, a longLong and Short PositionsIn investing, long and short positions represent directional bets by investors that a security will either go up (when long) or down (when short). In the trading of assets, an investor can take two types of positions: long and short. An investor can either buy an asset (going long), or sell it (going short). call optionCall OptionA call option, commonly referred to as a "call," is a form of a derivatives contract that gives the call option buyer the right, but not the obligation, to buy a stock or other financial instrument at a specific price - the strike price of the option - within a specified time frame. with a delta of 0.30 would rise by $0.30 if the underlying asset rose in price by $1. Traders often refer to the sensitivity measure in basis points. A delta of 0.30 may be referred to as “30 delta.”
Quick Summary of Points
- Delta is a risk sensitivity measure used in assessing derivatives.
- The sensitivity measure is equal to the change in the derivative value as a ratio of the change in the underlying asset’s price.
- Delta can be used for a number of purposes, including gauging risk, exposure, and hedging.
How to Interpret Delta?
Delta can be thought of as a ratio that compares changes in the derivative price and the underlying asset price. The ratio can be positive or negative depending on the direction the derivative moves in relation to changes in the underlying asset. A call optionCall OptionA call option, commonly referred to as a "call," is a form of a derivatives contract that gives the call option buyer the right, but not the obligation, to buy a stock or other financial instrument at a specific price - the strike price of the option - within a specified time frame. would increase in value if the underlying asset rose in price; therefore, it has a positive delta. A put optionPut OptionA put option is an option contract that gives the buyer the right, but not the obligation, to sell the underlying security at a specified price (also known as strike price) before or at a predetermined expiration date. It is one of the two main types of options, the other type being a call option. would decrease in value if the underlying asset rose in price; therefore, it has a negative delta. For a call option, the value will range from 0 to 1, and for a put option, the value will range from 0 to -1.
Let us look at an example of this ratio. Say a call option has a value of $10, and the underlying asset has a price of $20. The underlying asset increases in price to $23, and the option value corresponds by increasing to $11. The delta is equal to: ($11-$10)/($23-$20) = 0.33.
Now let us look at a put option with a value of $10. The underlying asset has a price of $20 and decreases to $17. The corresponding put option value increases to $11. The delta here is equal to: ($11-$10)/($17-$20) = -0.33.
Another way of thinking about the metric is that it can give an idea of whether an optionOptions: Calls and PutsAn option is a derivative contract that gives the holder the right, but not the obligation, to buy or sell an asset by a certain date at a specified price. will end up in the money at the expiration date. As an option moves further into the money, the delta value will head away from 0. For a call optionCall OptionA call option, commonly referred to as a "call," is a form of a derivatives contract that gives the call option buyer the right, but not the obligation, to buy a stock or other financial instrument at a specific price - the strike price of the option - within a specified time frame., it will head toward a value of 1, while a put optionPut OptionA put option is an option contract that gives the buyer the right, but not the obligation, to sell the underlying security at a specified price (also known as strike price) before or at a predetermined expiration date. It is one of the two main types of options, the other type being a call option. will head toward a value of -1. As the option moves further out of the money, the delta value will head towards 0.
The delta is 0.50 when a call option is at the money and -0.5 for a put option when it is at the money, meaning the strike price is equal to the underlying asset’s price. It is essentially saying there is a 50/50 chance of the option ending in the money or out of the money.
The delta sensitivity is also affected by the time until expiration. The closer the option is to expiration, the more likely the option will end up in its current state whether in, out, or at the money. If a call option is in the money, holding the moneynessOptions Case Study – Long CallTo study the complex nature and interactions between options and the underlying asset, we present an options case study. It's much easier to constant, as it approaches expiration, the delta value will move closer towards one.
What is Delta Used For?
This sensitivity measurement is one of the most important Greeks used in assessing derivatives. As mentioned before, it can be thought of as the probability that an option will end in the money. It is very important to consider when determining the risk one is willing to take for a return of an investment. Observing the value in such a way can also be used in assessing portfolios. Looking at the portfolio aggregate delta can help determine how it would do in relation to changes in the overall market.
Traders may consider the sensitivity value as the amount of their exposure to a stock or the underlying assetAsset ClassAn asset class is a group of similar investment vehicles. They are typically traded in the same financial markets and subject to the same rules and regulations.. The closer to 1 the value is, the more exposed they are to the underlying asset.
The delta value of an optionOptions: Calls and PutsAn option is a derivative contract that gives the holder the right, but not the obligation, to buy or sell an asset by a certain date at a specified price. can also be used as a way to determine whether the options are being bought or sold. If the price of an option increases less than the delta would imply, it could mean that traders are selling this option near the bid priceBid and AskThe term bid and ask refers to the best potential price that buyers and sellers in the marketplace are willing to transact at.. If the price is higher than the delta would imply, it could mean traders were buying the options near the askBid and AskThe term bid and ask refers to the best potential price that buyers and sellers in the marketplace are willing to transact at. price.
Delta can also be used for hedgingHedgingHedging is a financial strategy that should be understood and used by investors because of the advantages it offers. As an investment, it protects an individual’s finances from being exposed to a risky situation that may lead to loss of value. purposes. A common hedging strategy used is the neutral delta strategy. It involves holding a number of options that when the delta is taken in aggregate, it is equal or very close to 0. This reduces the movement in options pricing relative to the underlying asset’s price.
How is Delta Calculated?
Delta can be shown in its general form:

Where:
- ∂ – the first derivative
- V – the option’s price (theoretical value)
- S – the underlying asset’s price
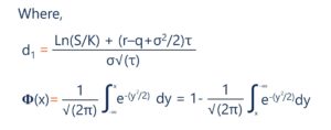
Under the Black-Scholes model, delta is calculated by the following equation:


Where:
- S – the stock price
- K – the strike price
- r – the risk-free rate
- q – the annual dividend yield
- τ – time until expiration
- σ – the volatility
Additional Resources
Thank you for reading CFI’s article on delta. If you would like to learn about other related concepts, check out CFI’s other resources:
- Option GreeksOption GreeksOption Greeks are financial measures of the sensitivity of an option’s price to its underlying determining parameters, such as volatility or the price of the underlying asset. The Greeks are utilized in the analysis of an options portfolio and in sensitivity analysis of an option
- DerivativesDerivativesDerivatives are financial contracts whose value is linked to the value of an underlying asset. They are complex financial instruments that are
- Options Case Study – Long CallOptions Case Study – Long CallTo study the complex nature and interactions between options and the underlying asset, we present an options case study. It's much easier to
- Long and Short PositionsLong and Short PositionsIn investing, long and short positions represent directional bets by investors that a security will either go up (when long) or down (when short). In the trading of assets, an investor can take two types of positions: long and short. An investor can either buy an asset (going long), or sell it (going short).
invest
- Call Options: A Comprehensive Guide for Investors
- Delta Hedging Explained: A Comprehensive Guide for Traders
- Understanding Digital Options: A Comprehensive Guide for Traders
- Understanding Exercise Price in Options Trading
- Knock-In Options Explained: A Comprehensive Guide
- Knock-Out Options: A Comprehensive Guide
- Naked Options: Risks, Rewards, and How They Work
- Understanding Near-The-Money Options: A Comprehensive Guide
- Put Options Explained: A Comprehensive Guide for Investors
-
Delta Explained: Understanding Option Pricing & RiskWhat Is Delta? Delta is the ratio that compares the change in the price of an asset, usually marketable securities, to the corresponding change in the price of its derivative. For example, if a...
-
Understanding Put-Call Parity: A Comprehensive GuidePut-call parity is an important concept in options Options: Calls and PutsAn option is a derivative contract that gives the holder the right, but not the obligation, to buy or sell an asset by a certa...
