Fair Value Security: Understanding Valuation & the Discounted Cash Flow (DCF) Method
A security is said to be fairly valued if its market price is equal to its true value. Since the true value of a security is usually not known, the question of whether a security is fairly valued lacks a definite answer.
Most securities are valued using some variation of the Discounted Cash Flow (DCF) methodDiscounted Cash Flow DCF FormulaThis article breaks down the DCF formula into simple terms with examples and a video of the calculation. Learn to determine the value of a business.. The DCF method approach states that the price of a security is equal to the present discounted value of all cash flows generated by the security in the future.

Where:
- Returnie is the expected return generated by the security in period i.
- rie is the expected rate of interest in period i.
The above equation states that the price of a T period security in period 0 is equal to the present discounted value of all the returns generated by the security between period 1 and period T. At time period 0, there are 2T unknowns that we need to estimate before we can apply the Discounted Cash Flow method. DCF models are used extensively in accounting, economics, and finance to find the intrinsic valueIntrinsic ValueThe intrinsic value of a business (or any investment security) is the present value of all expected future cash flows, discounted at the appropriate discount rate. Unlike relative forms of valuation that look at comparable companies, intrinsic valuation looks only at the inherent value of a business on its own. of securities.
Fairly Valued Security – Illustrative Examples
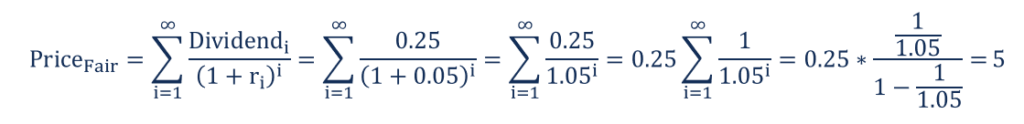
Consider the stock of Company ABC whose market price is $4. An ABC stock pays out a dividendDividendA dividend is a share of profits and retained earnings that a company pays out to its shareholders. When a company generates a profit and accumulates retained earnings, those earnings can be either reinvested in the business or paid out to shareholders as a dividend. of $0.25 in each period. The market rate of interest is 5%. Therefore,

The fair price of company ABC’s stock is $5. Therefore, the stock is undervalued at present.
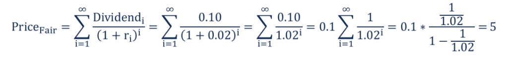
Consider the stock of Company XYZ whose market price is $10. XYZ is listed in the stock exchangeStock ExchangeA stock exchange is a marketplace where securities, such as stocks and bonds, are bought and sold. Stock exchanges allow companies to raise capital and investors to make informed decisions using real-time price information. Exchanges can be a physical location or an electronic trading platform. of Country Alpha. An XYZ stock pays out a dividend of $0.10 in each period. The current market rate of interest is 10%. However, some investors expect the central bank of Alpha to cut interest rates down to 2%.
- Investor A believes that interest rates will remain at 10%. For investor A, the fair price of an XYZ stock is the following:

- Investor B believes that interest rates will be cut to 2%. For investor B, the fair price of an XYZ stock is the following:

- Investor C believes that interest rates will be cut to 2%. In addition, investor C expects Company XYZ to triple dividend payments from period 2 onwards. For investor C, the fair price of an XYZ stock is the following:

Investor A and Investor B believe that Company XYZ’s stock is overvalued whereas Investor C believes that Company XYZ’s stock is undervalued. Such a difference in beliefs is why financial markets can exist. If everyone believed and expected the same thing, there would be no scope for trade.
It is important to note that although Investor B and Investor C share the same belief about interest rates, they maintain different beliefs about dividend payouts. In the example described above, Investor C will be buying XYZ stocks whereas investors A and B will be selling XYZ stocks.
Fairly Valued Security – Currency
The currency of a country is valued fairly relative to the currency of another country if there is no scope for arbitrage with respect to real assets. Consider the following example:
The currency of Country A is alpha, and the currency of Country B is beta. The current exchange rate is 1 alpha = 0.5 beta. The price of a car in country A is 1,000 alphas.
If the alpha is fairly valued relative to the beta, then the price of the same car in country B must be 500 betas. If the price of the car in Country B was lower than 500 betas, an arbitrageur can make a profit by buying cars in Country B and selling them in Country A.
Similarly, if the price of the car in Country B was higher than 500 betas, then an arbitrageur can make a profit by buying cars in Country A and selling them in Country B. In general, real assets (like cars) come with significant shipping costs. Therefore, arbitrageurs need significant price differences to make profits.
Additional Resources
Thank you for reading CFI’s explanation of a fairly valued security. CFI is the official provider of the Financial Modeling and Valuation Analyst (FMVA)™Become a Certified Financial Modeling & Valuation Analyst (FMVA)®CFI's Financial Modeling and Valuation Analyst (FMVA)® certification will help you gain the confidence you need in your finance career. Enroll today! certification program, designed to transform anyone into a world-class financial analyst. To keep learning and developing your knowledge of financial analysis, we highly recommend the additional resources below:
- Foreign Exchange Gain/LossForeign Exchange Gain/LossA foreign exchange gain/loss occurs when a company buys and/or sells goods and services in a foreign currency, and that currency fluctuates
- Mosaic TheoryMosaic TheoryMosaic theory is an approach to financial security analysis that involves the analysis of a variety of resources, including public and non-public material and non-material information, to determine the underlying value of a security.The theory provides a more comprehensive and meticulous approach to the valuation of financial securities
- Par ValuePar ValuePar Value is the nominal or face value of a bond, or stock, or coupon as indicated on a bond or stock certificate. It is a static value
- Valuation MethodsValuation MethodsWhen valuing a company as a going concern there are three main valuation methods used: DCF analysis, comparable companies, and precedent transactions
invest
- Understanding Downtrends: Definition, Identification & Reversal
- Margin Trading Explained: Borrowing Money to Invest
- Understanding Non-Assessable Stock: Limited Liability Explained
- Understanding Overweight Stocks: A Comprehensive Guide
- Reverse Convertible Notes (RCNs): A Comprehensive Guide
- Stock Indexes Explained: A Beginner's Guide to Market Benchmarks
- Stock Valuation: A Comprehensive Guide for Investors
- Stock Float Explained: Understanding Publicly Available Shares
- Stock Splits Explained: What They Are & What They Mean for Investors
-
Black Monday 1987: Causes, Impact & Historical Significance“Black Monday” – as it is referenced today – took place on October 19 (a Monday) in 1987. On this day, stock markets around the world crashed, though the event didn’t hap...
-
Black Tuesday: Causes, Impact, and Historical SignificanceBlack Tuesday is the stock market crash that occurred on October 29, 1929. It is considered the most disastrous market crash in the history of the United States. The Black Tuesday event was preceded b...
