Understanding Money and Time-Weighted Returns: A Comprehensive Guide
Money and time-weighted returns are rates of return typically used to assess the performance of a managed investment portfolio. Today, the time-weighted rate of return is the industry standard since it provides a fairer assessment of an investment manager’s performance.

Money-Weighted Return
When it comes to monitoring investment performance, money-weighted returns function in the same way that internal rate of return (IRR)Internal Rate of Return (IRR)The Internal Rate of Return (IRR) is the discount rate that makes the net present value (NPV) of a project zero. In other words, it is the expected compound annual rate of return that will be earned on a project or investment. does. In a project assessment context, IRR would describe the return on investment of pursuing a particular project. The cost of capital (WACCWACCWACC is a firm’s Weighted Average Cost of Capital and represents its blended cost of capital including equity and debt.) can be thought of as the minimum benchmark IRR that a project must produce in order to have a positive NPVNPV FormulaA guide to the NPV formula in Excel when performing financial analysis. It's important to understand exactly how the NPV formula works in Excel and the math behind it. NPV = F / [ (1 + r)^n ] where, PV = Present Value, F = Future payment (cash flow), r = Discount rate, n = the number of periods in the future. From a mathematical standpoint:
- WACC > IRR = Negative NPV
- WACC = IRR = NPV of $0
- WACC < IRR = Positive NPV
In an investment management context, the money-weighted return is the return at which a portfolio’s present valueTime Value of MoneyThe time value of money is a basic financial concept that holds that money in the present is worth more than the same sum of money to be received in the future. This is true because money that you have right now can be invested and earn a return, thus creating a larger amount of money in the future. (Also, with future (PV) of inflows equals its PV of outflows (i.e., the rate of return that equals the discount rate). Examples of cash inflows and outflows can be found below:

This method is not ideal to monitor the performance of investment managers, since returns can be skewed by large deposits or withdrawals requested by clients. Other such changes to account size may unfairly help or penalize an investment manager since client requests are out of their control.
To calculate the money-weighted return, set the PV of cash inflows = PV cash outflows and solve for the discount rate. This will require a spreadsheet or a financial calculator. To compute the money-weighted return, we will need to:
- Identity all outflows and inflows
- Set PV outflows = PV inflows
- Solve for r
Money-Weighted Return Example
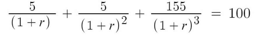
An investment manager purchases a stock today for $100. He intends to hold the stock for three years and collects $5 in dividends each year. At the end of the third year, he expects to be able to sell the stock for $150. What is the money-weighted return on this investment portfolio?
Answer
Step 1 – Identify inflows and outflows
Inflows: Dividends ($5 in Years 1,2 and 3) and Sale of stock ($150 in Year 3). Outflows: Purchase of stock (Year 0)
Step 2 – Set PV inflows = PV outflows

Step 3 – Solve for r
Using a financial calculator, solver on excel or through trial and error, we arrive at a value of approximately 18.88%
Time-Weighted Return
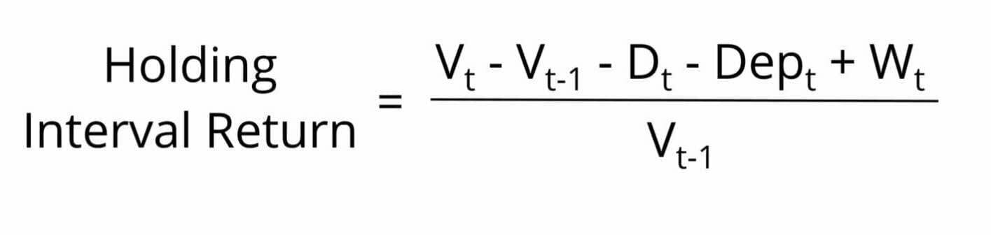
Time-weighted returns are geometric means of the performance of investment portfolios. Calculating time-weighted return requires breaking up an investment portfolio across various time intervals (or holding intervals) and evaluating performance during each interval (thus the name “time-weighted”). Portfolio performance for each holding interval can be found using the following equation:

Where:
Vt – Value of portfolio at the end of period t
Vt-1 – Value of portfolio at end of period t-1 (the previous period)
Dt – Dividends received during period t
Dept – Deposits made during period t
Wt – Withdrawals made during period t
This approach isolates investment performance from withdrawals and deposits, making the assessment of the investment manager fairer. Withdrawals and deposits will be accounted for in the following period’s Vt.
To calculate the time-weighted return of an investment portfolio, we must:
- Identify all holding intervals
- Identify all withdrawals and deposits
- Calculate holding interval return (HIR) for each interval
- Find the geometric mean of the HIRs by adding 1 to each return and multiplying them together, then subtracting 1
- Annualize the return
Time-Weighted Return Example
The table below describes the market value of a certain portfolio at different dates:

We also learn that the client made a $12,000 withdrawal on March 3, 2012 and a $20,000 deposit on December 20, 2012. What is the time-weighted return of this investment portfolio?
Answer
Step 1 – Identify all holding intervals
Based on the given information, there are 4 holding intervals (HIs):
- From Dec. 31, 2011 to Jan. 31 2012 (HI1)
- From Jan. 31, 2012 to Apr. 30 2012 (HI2)
- From Apr. 30, 2012 to Nov. 30, 2012 (HI3)
- From Nov. 30, 2012 to Dec 31. 2012 (HI4)
Step 2 – Identify all withdrawals and deposits
- There is a $12,000 withdrawal made on March 3, 2012, which falls in HI2
- There is a $20,000 deposit made on December 20, 2012, which falls in HI4
Step 3 – Calculate holding interval return (HIR) for each interval

Step 4 – Add 1 to HIRs, multiplying them together, then subtracting 1

Step 5 – Annualize returns
The data provided above is for one year, thus, there is no need to conduct the annualization calculation. Had the data provided covered more than one year, we would need to follow this formula.
Thus, the time-weighted return on this portfolio is of 28.40%
Conclusion
Both methods are useful in evaluating the performance of an investment portfolio over time. However, as described above, the time-weighted method is a more practical formula since it factors out changes in account balances and focuses solely on investment performance.
More Resources
Thank you for reading CFI’s guide to money vs. time-weighted return. CFI offers the Financial Modeling & Valuation Analyst (FMVA)™Become a Certified Financial Modeling & Valuation Analyst (FMVA)®CFI's Financial Modeling and Valuation Analyst (FMVA)® certification will help you gain the confidence you need in your finance career. Enroll today! certification program for those looking to take their careers to the next level. To learn more about related topics, check out the following CFI resources:
- Investment MethodsInvestment MethodsThis guide and overview of investment methods outlines they main ways investors try to make money and manage risk in capital markets. An investment is any asset or instrument purchased with the intention of selling it for a price higher than the purchase price at some future point in time (capital gains), or with the hope that the asset will directly bring in income (such as rental income or dividends).
- Total Return SwapTotal Return SwapA Total Return Swap is a contract between two parties who exchange the return from a financial asset between them. In this agreement, one party makes payments based on a set rate while the other party makes payments based on the total return of an underlying asset.
- Rate of ReturnRate of ReturnThe Rate of Return (ROR) is the gain or loss of an investment over a period of time copmared to the initial cost of the investment expressed as a percentage. This guide teaches the most common formulas
- Return on Assets (ROA)Return on Assets & ROA FormulaROA Formula. Return on Assets (ROA) is a type of return on investment (ROI) metric that measures the profitability of a business in relation to its total assets.
- Fixed Income Fundamentals Course – CFI
finance
- Annualized Total Return (CAGR): Definition & Calculation
- Understanding Monetary Aggregates: A Comprehensive Guide
- Understanding Return on Investment (ROI): A Comprehensive Guide
- Understanding Abnormal Returns: A Guide to Investment Performance
- Understanding Absolute Return: A Comprehensive Guide
- Annual Return: Definition, Calculation & Understanding
- Understanding Excess Returns (Alpha): A Comprehensive Guide
- Understanding Historical Returns: A Guide for Investors
- Trailing vs. Rolling Returns: Understanding Mutual Fund Performance
-
Savings Accounts: Benefits, Risks & How They WorkSome employers offer an automatic savings plan. Saving money allows you to prepare for large purchases, like buying a home or paying for college, but it can also come in handy in everyday cir...
-
Understanding Interest Rates: A Simple ExplanationIt might be helpful to think of money you borrow as akin to a rental car; in the same way you have to eventually have to return the car, so do you have to return a the amount you borrowed from the ban...
