One-Period Dividend Discount Model (DDM): Valuation Explained
The one-period dividend discount model is a variation of the dividend discount modelDividend Discount ModelThe Dividend Discount Model (DDM) is a quantitative method of valuing a company’s stock price based on the assumption that the current fair price of a stock. The one-period dividend discount variation is used to determine the intrinsic value of a stock that is planned to be held for one period only (usually one year).
Similar to the general dividend discount model, the one-period variation is based on the assumption that the intrinsic valueIntrinsic ValueThe intrinsic value of a business (or any investment security) is the present value of all expected future cash flows, discounted at the appropriate discount rate. Unlike relative forms of valuation that look at comparable companies, intrinsic valuation looks only at the inherent value of a business on its own. of a stock equals the sum of all future cash flows discounted back to its present value.

When an investor is willing to hold the stock only for one year, there are only two possible cash flows that are generated by the stock: one dividend payment and the selling price of the stock. Thus, in order to find the current fair price of a stock, we must calculate the sum of the future dividend payment and the anticipated selling price discounted back to their present values.
Formula for the One-Period Dividend Discount Model
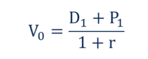
The mathematical formula that allows calculating the intrinsic value of a stock using the one-period dividend discount model is given below:

Where:
- V0 – the current fair valueFair ValueFair value refers to the actual value of an asset - a product, stock, or security - that is agreed upon by both the seller and the buyer. Fair value is applicable to a product that is sold or traded in the market where it belongs or under normal conditions - and not to one that is being liquidated. of a stock
- D1 – the dividend payment in one period from now
- P1 – the stock price in one period from now
- r – the estimated cost of equity capital
The formula above can be simplified into the following manner:

Example of the One-Period Dividend Discount Model
Assume that you are an investment analyst. Your client has asked you to assess the viability of their investment in ABC Corp. The client expects to hold the investment for one year only and sell it at the end of the holding period.
You’ve discovered that ABC Corp. will pay $3 in dividends per share,Dividend Per Share (DPS)Dividend Per Share (DPS) is the total amount of dividends attributed to each individual share outstanding of a company. Calculating the dividend per share while the selling price at the end of the holding period can reach $120 per share. The estimated cost of equity capital is 5%. Currently, the stock of ABC Corp. trades at $118 per share.

In order to assess the viability of the investment, you should determine the intrinsic value of the company’s stock. It can be found using the one-period dividend discount model. By inputting the known variables into the formula above, the intrinsic stock value can be calculated in the following way:

The intrinsic value of the company’s stock is $117.14, which is less than the company’s current stock price ($118). Therefore, we can say that the stock is currently overvalued.
Related Readings
Thank you for reading CFI’s explanation of the one-period dividend discount model. CFI is the official provider of the Financial Modeling and Valuation Analyst (FMVA)™Become a Certified Financial Modeling & Valuation Analyst (FMVA)®CFI's Financial Modeling and Valuation Analyst (FMVA)® certification will help you gain the confidence you need in your finance career. Enroll today! certification program, designed to transform anyone into a world-class financial analyst.
To keep learning and developing your knowledge of financial analysis, we highly recommend the additional CFI resources below:
- Dividend Growth RateDividend Growth RateThe dividend growth rate (DGR) is the percentage growth rate of a company’s stock dividend achieved during a certain period of time. Frequently, the DGR is calculated on an annual basis. However, if necessary, it can also be calculated on a quarterly or monthly basis.
- Ex-Dividend DateEx-Dividend DateThe ex-dividend date is an investment term that determines which stockholders are eligible to receive declared dividends. When a company announces a dividend, the board of directors set a record date when only shareholders recorded on the company’s books as of that date are entitled to receive the dividends.
- FCFF vs FCFE vs DividendsFCFF vs FCFE vs DividendsAll three types of cash flow – FCFF vs FCFE vs Dividends – can be used to determine the intrinsic value of equity, and ultimately, a firm’s intrinsic stock price. The primary difference in the valuation methods lies in how the cash flows are discounted.
- Multiple-Period Dividend Discount ModelMultiple-Period Dividend Discount ModelA multiple-period dividend discount model is a variation of the dividend discount model. It is often used in situations when an investor is expecting to buy
finance
- Understanding the Cost of Preferred Stock: A Key Capital Metric
- Dividend Growth Rate (DGR): Definition & Calculation
- Fama-French Three-Factor Model: Understanding Stock Returns
- Federal Discount Rate: Definition & Importance
- The Financial Modeler's Manifesto: Principles for Robust Financial Modeling
- PRAT Model: Understanding Sustainable Growth & Financial Health
- Understanding Stable Dividend Policies: A Comprehensive Guide
- Stock Dividends: Definition, Types & How They Work
- Dividend Discount Model: Pros, Cons, and How to Use It
-
Understanding Quoted Prices: A Comprehensive GuideThe quoted price is the most recent – or last – price at which a financial assetFinancial AssetsFinancial assets refer to assets that arise from contractual agreements on future cash flows...
-
Understanding the Stock Market: A Beginner's GuideThe stock market refers to public markets that exist for issuing, buying, and selling stocks that trade on a stock exchange or over-the-counter. StocksStockWhat is a stock? An individual who owns stoc...
