Equivalent Annual Annuity (EAA): Project Evaluation Explained
Equivalent Annual Annuity (or EAA) is a method of evaluating projects with different life durations. Traditional project profitability metrics such as NPVNPV FormulaA guide to the NPV formula in Excel when performing financial analysis. It's important to understand exactly how the NPV formula works in Excel and the math behind it. NPV = F / [ (1 + r)^n ] where, PV = Present Value, F = Future payment (cash flow), r = Discount rate, n = the number of periods in the future, IRRInternal Rate of Return (IRR)The Internal Rate of Return (IRR) is the discount rate that makes the net present value (NPV) of a project zero. In other words, it is the expected compound annual rate of return that will be earned on a project or investment., or payback periodPayback PeriodThe payback period shows how long it takes for a business to recoup an investment. provide a very valuable perspective on how financially viable projects are overall. EAA is a metric used to determine how financially efficient projects are.

How to Calculate Equivalent Annual Annuity
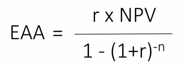
Equivalent Annual Annuity essentially smoothes out all cash flows and generates a single average cash flow for all periods that (when discounted) equal the project’s NPV. EAA is calculated using the following formula:

Where:
r – Project discount rate (WACC)
NPV – Net present valueNPV FormulaA guide to the NPV formula in Excel when performing financial analysis. It's important to understand exactly how the NPV formula works in Excel and the math behind it. NPV = F / [ (1 + r)^n ] where, PV = Present Value, F = Future payment (cash flow), r = Discount rate, n = the number of periods in the future of project cash flows
n – Project life (in years)
Equivalent Annual Annuity Example
Suppose that Sally’s Doughnut Shop is considering purchasing one of two machines. Machine A is a dough mixing machine that has a useful life of 6 years. During this time, the machine will enable Sally to realize significant cost savings and represents an NPV of $4 million.
Machine B is an icing machine with a useful life of 4 years. During this time, the machine will allow Sally’s to reduce icing waste and represents an NPV of $3 million. Sally’s Doughnut Shop has a cost of capital of 10%. Which machine should the company invest in?
Using the Equivalent Annual Annuity method:

This EAA number tells us what the average cash flow from each machine will be, given their NPVs and useful lives. Using the EAA method, we see that Machine B has a higher EAA. Thus, we would recommend that Sally’s invest in this machine. Another way to think of EAA is that it measures the financial efficiency of each project (i.e., the average annual cash flowCash FlowCash Flow (CF) is the increase or decrease in the amount of money a business, institution, or individual has. In finance, the term is used to describe the amount of cash (currency) that is generated or consumed in a given time period. There are many types of CF that the business will see).
Further Considerations
Using the traditional NPV approach, we see that Machine A has a higher NPV than Machine B. Thus, we would recommend that Sally’s invest in Machine A. However, which machine Sally’s decides to invest in depends on the business’ situation and goals.
For example, if the company is facing difficulties making interest payments on its debt, choosing a project with a lower NPV but higher average cash flows may be a better decision. In contrast, if the business is financially healthy, going with the highest NPV-project may be the way to go since this will provide the greatest financial benefit.
More Resources
Thank you for reading CFI’s explanation of Equivalent Annual Annuity. CFI offers the Financial Modeling & Valuation Analyst (FMVA)™Become a Certified Financial Modeling & Valuation Analyst (FMVA)®CFI's Financial Modeling and Valuation Analyst (FMVA)® certification will help you gain the confidence you need in your finance career. Enroll today! certification program for those looking to take their careers to the next level. To learn more about related topics, check out the following CFI resources:
- WACCWACCWACC is a firm’s Weighted Average Cost of Capital and represents its blended cost of capital including equity and debt.
- Cost of DebtCost of DebtThe cost of debt is the return that a company provides to its debtholders and creditors. Cost of debt is used in WACC calculations for valuation analysis.
- Cost of EquityCost of EquityCost of Equity is the rate of return a shareholder requires for investing in a business. The rate of return required is based on the level of risk associated with the investment
- Time Value of MoneyTime Value of MoneyThe time value of money is a basic financial concept that holds that money in the present is worth more than the same sum of money to be received in the future. This is true because money that you have right now can be invested and earn a return, thus creating a larger amount of money in the future. (Also, with future
finance
- Understanding AER: Annual Equivalent Rate Explained
- Understanding APR: What It Is and How It Works
- Understanding Annual Percentage Yield (APY): A Comprehensive Guide
- Annuity Due Explained: Payments at the Beginning of Each Period
- Effective Annual Interest Rate (EAR): Understanding & Calculation
- Effective Annual Rate (EAR): Understanding & Calculation
- Fixed Annuities: A Comprehensive Guide to Guaranteed Retirement Income
- Annuities Explained: A Simple Guide to Retirement Income
- Annuities Explained: A Comprehensive Guide for Retirement Income
-
Libra Cryptocurrency: A Comprehensive OverviewLibra is a cryptocurrencyCryptocurrencyCryptocurrency is a form of digital currency that is based on blockchain networking. Cryptocurrency like Bitcoin and Ethereum are becoming widely accepted. creat...
-
Modigliani-Miller Theorem: Understanding Capital Structure & Firm ValueThe M&M Theorem, or the Modigliani-Miller Theorem, is one of the most important theorems in corporate finance. The theorem was developed by economists Franco Modigliani and Merton Miller in ...
