Coupon Bonds: Understanding Fixed Income & Interest Payments
A coupon bond is a type of bondBondsBonds are fixed-income securities that are issued by corporations and governments to raise capital. The bond issuer borrows capital from the bondholder and makes fixed payments to them at a fixed (or variable) interest rate for a specified period. that includes attached coupons and pays periodic (typically annual or semi-annual) interest payments during its lifetime and its par valuePar ValuePar Value is the nominal or face value of a bond, or stock, or coupon as indicated on a bond or stock certificate. It is a static value at maturity. These bonds come with a coupon rateCoupon RateA coupon rate is the amount of annual interest income paid to a bondholder, based on the face value of the bond., which refers to the bond’s yield at the date of issuance. Bonds that have higher coupon rates offer investors higher yields on their investment.

In the past, such bonds were issued in the form of bearer certificates. This means that the physical possession of the certificate was sufficient proof of ownership. No records of the original or any subsequent buyer of the bond was retained by the issuer. They came to be known as “bearer bonds” because anyone bearing the appropriate coupon could present it to the issuer’s agent and receive the interest payment. The coupons were printed on the bond, from which they could be detached and presented for payment.
There were both positive and negative aspects to this anonymity of buyers. First, the buyer could remain anonymous if they so desired. Second, the detachable coupons made collecting the interest payments very simple. On the downside, however, these bonds with no purchase records presented large opportunities for fraud and were tempting targets for thieves.
Nowadays, physical versions of bonds are uncommon since most bonds are created electronically and do not come with physical certificates. Nevertheless, the term “coupon” is still used, but it merely refers to the bond’s nominal yield.
How Does a Coupon Bond Work?
Upon the issuance of the bond, a coupon rate on the bond’s face value is specified. The issuer of the bond agrees to make annual or semi-annual interest paymentsInterest PayableInterest Payable is a liability account shown on a company’s balance sheet that represents the amount of interest expense that has accrued equal to the coupon rate to investors. These payments are made until the bond’s maturity.
Let’s imagine that Apple Inc. issued a new four-year bond with a face value of $100 and an annual coupon rate of 5% of the bond’s face value. In this case, Apple will pay $5 in annual interest to investors for every bond purchased. After four years, on the bond’s maturity date, Apple will make its last coupon payment. It will also pay the investor back the face value of the bond.
Bond Pricing
Despite the bond’s relatively simple design, its pricing remains a crucial issue. If there is a high probability of default, investors may require a higher rate of return on the bond.
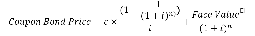
Similar to the pricing of other types of bonds, the price of a coupon bond is determined by the present value formula. The formula is:

Where:
c = Coupon rate
i = Interest rate
n = number of payments
Also, the slightly modified formula of the present value of an ordinary annuity can be used as a shortcut for the formula above, since the payments on this type of bond are fixed and set over fixed time periods:

More resources
For more learning, CFI offers a wide range of courses on accounting, financial analysis, and financial modeling, including the Financial Modeling & Valuation Analyst (FMVA)™Become a Certified Financial Modeling & Valuation Analyst (FMVA)®CFI's Financial Modeling and Valuation Analyst (FMVA)® certification will help you gain the confidence you need in your finance career. Enroll today! certification program. To keep advancing your career, the following resources will be helpful:
- Bond PricingBond PricingBond pricing is the science of calculating a bond's issue price based on the coupon, par value, yield and term to maturity. Bond pricing allows investors
- Discount BondDiscount BondA discount bond is a bond that is issued at a lower price than its par value or a bond that is trading in the secondary market at a price that is below the par value. It is similar to a zero-coupon bond, only that the latter does not pay interest. A bond is considered to trade at a discount
- Fixed Income GlossaryFixed Income GlossaryThis fixed income glossary covers the most important bond terms and definitions required for financial analysts. These terms are covered in detail in CFI's Fixed Income Fundamentals Course.. Constant Perpetuity, Correlation, Coupon Rate, Covariance, Credit Spread
- Investing: A Beginner’s GuideInvesting: A Beginner's GuideCFI's Investing for Beginners guide will teach you the basics of investing and how to get started. Learn about different strategies and techniques for trading
invest
- Personal Bond Explained: Release from Jail Without Bail
- Understanding Coupon Rate: A Key Bond Investment Metric
- Understanding Bond Duration: A Key Fixed Income Metric
- Discount Bonds: Understanding Pricing & Secondary Markets
- Understanding Noncallable Securities: A Comprehensive Guide
- Samurai Bonds: A Guide to Understanding Yen-Denominated Corporate Debt
- Treasury Bonds: A Comprehensive Guide to U.S. Government Debt
- Zero-Coupon Bonds: Definition, How They Work & Examples
- Understanding Bonds: A Comprehensive Guide for Investors
-
Bullet Bond Portfolios: A Comprehensive GuideA bullet bond portfolio, commonly referred to as a bullet portfolio, is made up of a range of bullet bonds, from short-term to long-term bullet bonds. A bullet bond is a non-callable bondNon-Callable ...
-
Understanding Call Dates: What You Need to KnowA call date refers to the date when a callable bondCallable BondA callable bond (redeemable bond) is a type of bond that provides the issuer of the bond with the right, but not the obligation, to rede...
